Calculating pH from molarity - it's like a fun math puzzle, right? Well, maybe not, but with these simple steps, you'll be a pro in no time. Whether you're a chemistry whiz or just trying to survive your high school science class, this list is for you. So, grab your calculator and let's dive in.
1. Understand the Basics
Before you start calculating, make sure you know what pH and molarity are. pH is a measure of how acidic or basic a solution is, and molarity is the concentration of a solution in terms of moles of solute per liter of solution. It's like the difference between how much sugar you add to your coffee and how sweet it actually tastes.
2. Get Your Chemical Formula Ready
Write down the chemical formula for the acid or base you're working with. This will help you figure out how many hydrogen ions (H+) are involved in the reaction. For example, if you're working with hydrochloric acid (HCl), the formula is pretty simple: HCl → H+ + Cl-.
3. Determine the Type of Acid or Base
Is your acid or base strong or weak? This will affect how you calculate the pH. Strong acids and bases completely dissociate in water, while weak ones only partially dissociate. It's like the difference between a strong coffee and a weak tea - one will keep you up all night, while the other will just give you a warm belly.
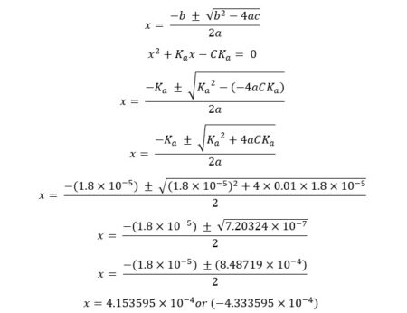
4. Calculate the Concentration of Hydrogen Ions
Using the molarity of your acid or base, calculate the concentration of hydrogen ions (H+). For strong acids, this is straightforward: [H+] = molarity. For weak acids, you'll need to use the dissociation constant (Ka) to calculate [H+]. It's like solving a puzzle, but with more math.
5. Use the pH Formula
The pH formula is: pH = -log[H+]. Plug in the concentration of hydrogen ions you calculated in the previous step, and voilà! You've got your pH. Just remember to use a calculator, unless you're a math genius and can do logarithms in your head.
6. Consider the pKa or pKb
If you're working with a weak acid or base, you'll need to consider the pKa or pKb. This is a measure of the strength of the acid or base, and it will affect your pH calculation. Think of it like a secret ingredient in your favorite recipe - it might not seem important, but it makes all the difference.
7. Calculate the pOH (Optional)
If you want to calculate the pOH (the measure of the concentration of hydroxide ions), you can use the formula: pOH = 14 - pH. This is like the icing on the cake - it's not necessary, but it's a nice extra detail.
8. Check Your Units
Make sure your units are consistent throughout your calculation. You don't want to end up with a pH of 10^6 by mistake (unless you're working with a very, very strong acid). Double-check your work, and don't be afraid to ask for help if you need it.
9. Practice, Practice, Practice
Like any math problem, calculating pH from molarity takes practice. Try working through a few examples to get a feel for the formulas and the calculations. The more you practice, the more comfortable you'll become, and the less likely you'll be to make mistakes.
10. Use Online Resources (If You Need To)
If you're really struggling, don't be afraid to use online resources to help you out. There are plenty of calculators and tutorials available that can guide you through the process. Just remember, it's always better to understand the math behind the calculation, rather than just relying on a magic formula.
If you are searching about How To Calculate Ph Of A Solution Given Concentration - vrogue.co you've visit to the right place. We have 10 Images about How To Calculate Ph Of A Solution Given Concentration - vrogue.co like How to Calculate pH: Equation & Step-by-Step Guide, How to Calculate Ph and also Solved Calculating pH from molarity Calculate the pH of the | Chegg.com. Here you go:
How To Calculate Ph Of A Solution Given Concentration - Vrogue.co
www.vrogue.co
How To Calculate Ph Of A Solution Given Concentration - vrogue.co
How To Calculate Ph
dylanmeowbutler.blogspot.com
How to Calculate Ph
Solved Calculating PH From Molarity Calculate The PH Of The | Chegg.com
Solved Calculating pH from molarity Calculate the pH of the | Chegg.com
How To Calculate Ph Of A Solution Given Molarity - Vrogue.co
www.vrogue.co
How To Calculate Ph Of A Solution Given Molarity - vrogue.co
How To Calculate Ph
dylanmeowbutler.blogspot.com
How to Calculate Ph
How To Calculate PH: Equation & Step-by-Step Guide
How to Calculate pH: Equation & Step-by-Step Guide
Calculate PH Of Acids And Bases – How To Calculate The PH Of Acids And
learnbin.net
Calculate PH Of Acids And Bases – How To Calculate The PH Of Acids And ...
How To Calculate Ph
dylanmeowbutler.blogspot.com
How to Calculate Ph
How To Calculate PH For Strong Acids & Bases | Step-by-Step Guide
phcalc.com
How to Calculate pH for Strong Acids & Bases | Step-by-Step guide
How To Calculate PH From Molarity: Formula And Examples
molaritycalc.com
How to Calculate pH from Molarity: Formula and Examples
how to calculate ph. How to calculate ph of a solution given molarity. calculate ph of acids and bases – how to calculate the ph of acids and ...
